»¶Ó­¹âÁÙº¼ÖÝÅÁç÷¿Æ¼¼ÓÐÏÞ¹«Ë¾ÍøÕ¾£¬×ÉѯÈÈÏß13685794797

PVPÓ¦ÓÃPVP application

NVP¼°PVP¼¼Êõ

1.1  NVP¼°Æä¾ÛºÏÎï

¡¡¡¡PVPÊǾßÓÐÓÅÒìÐÔÄÜ¡¢ÓÃ;¹ã·ºµÄÒ»ÖÖ·ÇÀë×ÓÐÍË®ÈÜÐԸ߷Ö×Ó¾«Ï¸»¯Ñ§Æ·£¬ËüÊÇÓÉNVPÔÚÒ»¶¨µÄÌõ¼þϾۺ϶ø³ÉµÄ£¬ÊÇN£­ÒÒÏ©»ùõ£°·Àà¹ÙÄÜÍžۺÏÎïÖÐ×î¾ßÌØÉ«£¬ÇÒ±»Ñо¿µÃ×îÉîÈë¡¢¹ã·ºµÄ¾«Ï¸»¯Ñ§Æ·¡£×Ô1938ÄêµÂ¹úÒÒȲ»¯Ñ§¼ÒReppeÊ״ι«¿ªÓÃÒÒȲΪԭÁϺϳÉNVP¼°Æä¾ÛºÏÎïPVPµÄרÀû[1]ÖÁ½ñÒѾ­ÓÐÁùÊ®¶àÄêµÄÑо¿¡¢Éú²úºÍÓ¦ÓõÄÀúÊ·£¬µ½Ä¿Ç°ÒÑ·¢Õ¹³ÉΪ·ÇÀë×Ó¡¢ÑôÀë×Ó¡¢ÒõÀë×ÓÈý´óÀ࣬¹¤Òµ¼¶¡¢Ò½Ò©¼¶¡¢Ê³Æ·¼¶ÈýÖÖ¹æ¸ñ£¬¹²Ê®¼¸¸öÆ·ÖÖ£¬·Ö×ÓÁ¿´ÓÊýǧµ½Ò»°ÙÍòÒÔÉϵľù¾ÛÎï¡¢¹²¾ÛÎïºÍ½»Áª¾ÛºÏÎïϵÁвúÆ·£¬²¢ÒÔÆäÓÅÒì¶ÀÌØµÄÐÔÄܹ㷺ӦÓÃÓÚ¹¤Å©ÒµÉú²úºÍÈËÃñÉú»îÒÔ¼°Ïà¹ØµÄ¿ÆÑв¿ÃÅ£¬²¢ÈÔÒÔÿÄê·¢±íÊý°ÙƪµÄÎÄÏ×չʾÆä·½ÐËδ°¬µÄÏÖ×´ºÍ¼ÌÐø·¢Õ¹µÄǰ¾°¡£

1.1.1 NVPµÄÐÔÖÊ

¡¡¡¡1.ÎïÀíÐÔÖÊ

¡¡¡¡NVP³£ÎÂÏÂÊÇÒ»ÖÖÎÞÉ«»òÕßµ­»ÆÉ«¡¢ÂÔÓÐÆøÎ¶µÄ͸Ã÷ÒºÌ壬Ò×ÈÜÓÚË®£¬ÆäÖ÷ÒªµÄÎïÀíÐÔÖÊÈçÏ£º

¡¡¡¡Ãܶȣº  1.04£¨25¡æ£©

¡¡¡¡È۵㣺  13.5¡æ

¡¡¡¡·Ðµã£º  148¡æ£¨13332.24Pa£©£¬58¡«65¡æ£¨13.3¡«26.64Pa£©

¡¡¡¡ÉÁµã£º  98.33¡æ

¡¡¡¡ÕÛ¹âÂÊ£º

¡¡¡¡NVP¾ßÓÐÓÅÁ¼µÄÈÜÒºÌØÐÔ£¬³ýÒ×ÈÜÓÚË®Í⣬»¹Ò×ÈÜÓÚÐí¶àÓлúÈܼÁ£¬Èç¼×´¼¡¢ÒÒ´¼¡¢±û´¼¡¢Òì±û´¼¡¢ÈýÂȼ×Íé¡¢¸ÊÓÍ¡¢ËÄÇâ߻ૡ¢ÒÒËáÒÒÏ©õ¥µÈ£¬»¹ÄÜÈÜÓÚ¼×±½µÈ·¼ÏãÀàÈܼÁ¡£

¡¡¡¡Ò»°ã˵À´£¬NVPÔÚ½ÏÇ¿¼«ÐÔµÄÈܼÁÖÐÓбȽϺõÄÈܽâÐÔ£¬¶øÔڷǼ«ÐÔÈܼÁÖеÄÈܽâÐԽϲÈç±í1.1Ëùʾ¡£


±í1.1  NVPÔÚ¸÷ÖÖÈܼÁÖеÄÈܽâÐÔ

ÈܼÁ

Ë®

ÒÒ´¼

±½

¼×±½

±ûͪ

ÂÈ·Â

1£¬4£­¶þÑõÁù»·

ÈܽâÐÔ

¡Ì

¡Ì

¡Ì

¡Á

¡Á

¡Ì

¡Á

ÈܼÁ

DMF

THF

¶þ¼×±½

ÕýÎì´¼

»·¼ºÍé

ÒÒËáÒÒõ¥

±ûÏ©Ëá¶¡õ¥

ÈܽâÐÔ

¡Ì

¡Á

¡Á

¡Á

¡Á

¡Á

¡Á

ÈܼÁ

¼×´¼

±û´¼

»·¼ºÍª

ÎìÍé

¼×Ëá

¶þÂȼ×Íé

¼×»ù»·¼ºÍé

ÈܽâÐÔ

¡Ì

¡Ì

¡Á

¡Á

¡Ì

¡Ì

¡Á

ÈܼÁ

ÒÒËá

±ûËá

ʯÓÍÃÑ

ËɽÚÓÍ

Âȱ½

ËÄÂÈ»¯Ì¼

ÒÒ»ùÒÒÏ©»ùÃÑ

ÈܽâÐÔ

¡Ì

¡Ì

¡Á

¡Á

¡Á

¡Á

¡Á

×¢£º ¡°¡Ì¡±±íʾ¿ÉÈÜ£»¡°¡Á¡±±íʾÈܽâÐÔ²»ºÃ¡£


2.»¯Ñ§ÐÔÖÊ

¡¡¡¡NVP·Ö×ÓʽΪC6H9NO£¬½á¹¹Îª£º


¡¡¡¡NVPµÄ·Ö×ÓÊÇÒ»¸öº¬ÓÐNÔ­×ÓµÄÎåÔª»·£¬ÊôÓÚÄÚõ£°·À໯ºÏÎÔÚNÔ­×ÓÉÏÁ¬ÓÐÒ»¸öÒÒÏ©»ù£¬NVPÕâÖÖÌØÊâµÄ·Ö×ӽṹ¸³ÓèÁËËüÒ»Ð©ÌØÊâµÄ»¯Ñ§ÐÔÖÊ£¬ÆäÖÐ×îÖØÒªµÄ¾ÍÊÇÒ×¾ÛºÏÐÔºÍÒ×Ë®½âÐÔ¡£

¡¡¡¡NVPÔÚÊʵ±µÄÒý·¢¼Á×÷ÓÃÏ£¬»òÕß¹âÕÕϼ´¿É·¢Éú¾ÛºÏ·´Ó¦µÃµ½PVP£¬·´Ó¦Ê½ÈçÏ£º

¡¡¡¡¼´Ê¹ÔÚûÓÐÒý·¢¼ÁµÄÇé¿öÏ£¬NVP·ÅÖõÄʱ¼ä¹ý³¤»òÕßÔÚÔËÊä¹ý³ÌÖÐÓÉÓÚÕð¶¯Ò²¿ÉÄÜ·¢Éú²»Í¬³Ì¶ÈµÄ×Ծۺ϶øÓ°ÏìÆäÖÊÁ¿£¬ËùÒÔÊÐÊÛµÄÉÌÆ·NVPÖÐÒ»°ã¶¼¼ÓÓÐ×è¾Û¼Á£¬Ê¹ÓÃʱ¿ÉÒÔÓüõѹÕôÁó»ò»îÐÔÌ¿Îü¸½µÄ·½·¨³ýÈ¥×è¾Û¼Á¡£

¡¡¡¡NVPµÄÁíÒ»¸öÖØÒªµÄ»¯Ñ§ÐÔÖÊÊÇÔÚËáÐÔ»ò¼î½ðÊôÀë×Ó´æÔÚµÄÌõ¼þϺÜÈÝÒ×·¢ÉúË®½â·´Ó¦£¬Éú³ÉßÁ¿©ÍéͪºÍÒÒÈ©£¬ÆäË®½â¹ý³ÌÈçͼ1.1Ëùʾ[2]¡£

ͼ1.1  NVPµÄË®½â


¡¡¡¡ÓÉÓÚNVPÒ×Ë®½â£¬ËùÒÔÔÚNVPµÄÉú²úºÍʹÓÃÖÐӦעÒâÁ½µã£ºÒ»ÊǺϳÉNVPʱ±ØÐë×¢Òâ°Ñˮȥ³ýÍêÈ«£¬±£Ö¤²úÆ·Öв»º¬Ë®·Ö£»¶þÊÇÔÚÖü´æ¡¢ÔËÊä¹ý³ÌÖУ¬ÒªÊ¹²úÆ·³ÊÖÐÐÔ»òÈõ¼îÐÔ£¬´Ó¶ø·Àֹˮ½âÓë×ԾۺϷ´Ó¦·¢Éú£¬Í¨³£µÄ·½·¨ÊǼÓÈË0.1£¥µÄ¼î£¨ÈçÇâÑõ»¯ÄÆ¡¢°±»òµÍ·Ö×ÓÁ¿µÄ°·Àࣩ¡£

1.1.2 NVPµÄºÏ³É

¡¡¡¡PVPµÄ¾ÛºÏµ¥ÌåNVP£¬ÊÇ1938ÄêµÂ¹úBASF¹«Ë¾»¯Ñ§¼ÒW. ReppeÊ״κϳɵõ½µÄ[1]¡£ËûÊÇÒÔÒÒȲΪÆðʼԭÁÏ£¬¾­¹ýһϵÁл¯Ñ§·´Ó¦£¬×îºóµÃµ½NVP¡£¸ÃºÏ³É·½·¨±»³ÆÎªÒÒȲ·¨£¬Ò²½ÐReppe·¨¡£

¡¡¡¡¸Ã·½·¨ÊÇÒÔÒÒȲ¡¢¼×ȩΪÆðʼԭÁÏ£¬¾­¹ýÒÒȲµÄÈ©¼Ó³É¡¢´ß»¯¼ÓÇâ¡¢´ß»¯ÍÑÇâ³É»·¡¢°±½â¡¢È²¼Ó³ÉµÈÎå²½·´Ó¦£¬×îºóµÃµ½NVP¡£ÆäÔ­Àí¿ÉÓÃÈçͼ1.2µÄ·´Ó¦Ê½±íʾ[1,3-6]£º

ͼ1.2  NVPµÄÒÒȲ·¨ºÏ³É·Ïß


¡¡¡¡ÒÒȲ·¨Éú²úNVP¹¤ÒÕÒÑÏ൱³ÉÊ죬Êǵ±½ñÊÀ½çÉϹ¤ÒµÉú²úNVPµÄÖ÷Òª·½·¨Ö®Ò»¡£¸Ã¹¤ÒÕµÄÖ÷ÒªÓŵãÊǹ¤ÒÕ³ÉÊì¡¢Ô­ÁϱãÒËÒ׵õÈ£¬Ö÷ÒªµÄ²»×ãÖ®´¦Êǹ¤ÒÕÁ÷³Ì³¤¡¢¹Ì¶¨×ʱ¾Í¶×Ê´ó¡¢²Ù×÷Ìõ¼þÒªÇóÑϸñ£¬Ö÷ÒªµÄÔ­ÁÏÒÒȲ´æÔÚ±¬Õ¨Î£ÏÕÐԵȡ£

¡¡¡¡½ü¼¸Ê®ÄêÀ´¿Æ¼¼¹¤×÷ÕßÔÚÍêÉÆÒÒȲ·¨µÄͬʱ¡£Ò²Ñо¿¿ª·¢ÁË»òÕýÔÚŬÁ¦¿ª·¢ÆäËûµÄNVPºÏ³É¼°Éú²ú·½·¨¡£¾­¹ý¼¸Ê®Äê·¢Õ¹£¬ÓÖ³öÏÖÁ˦ã­¶¡ÄÚõ¥·¨¡¢ßÁ¿©Íéͪ·¨¡¢Ë³¶¡Ï©¶þËáôû·¨¡¢çúçêËá·¨µÈ¶àÖֺϳÉNVPµÄ·½·¨[7-13]¡£µ«ÕâЩ·½·¨¶¼´¦ÔÚ½øÒ»²½µÄÑо¿ÖУ¬ÓдýÓÚÈ¡µÃ½øÒ»²½µÄÍ»ÆÆ¡£

1.1.3 NVPµÄ¾ÛºÏ·´Ó¦

¡¡¡¡NVPµ¥ÌåÔÚ¹¤ÒµÉϲ¢Ã»ÓÐʵ¼ÊÓ¦ÓüÛÖµ£¬Ö»Óн«NVP¾ÛºÏ»ò¹²¾ÛΪ¾ßÓÐÒ»¶¨½á¹¹¡¢Ò»¶¨×é³ÉºÍÒ»¶¨·Ö×ÓÁ¿µÄ¸ß·Ö×Ó»¯ºÏÎïÖ®ºó£¬²ÅÄÜÔÚ¹¤ÒµÉÏÓ¦Óá£

¡¡¡¡NVP¿ÉÒÔ¾ù¾Û£¬Ò²¿ÉÒÔÓëÆäËûµ¥Ìå¹²¾Û£»µÃµ½µÄ¾ÛºÏÎï¿ÉÒÔÊÇÏßÐԵģ¬Ò²¿ÉÒÔÊǽ»Áª¾ÛºÏÎï¡£

1.¾ù¾Û

¡¡¡¡NVPµ¥Ì弫ÈÝÒ×·¢Éú¾ÛºÏ·´Ó¦¡£°ÑNVPµ¥Ìå¼ÓÈȵ½140¡æÒÔÉÏ£¬»òÕßÔÚNVPµ¥ÌåÖмÓÈËÒý·¢¼ÁºÜÈÝÒ×Òý·¢NVPµÄ¾ù¾Û£¬Éú³É¾ÛÒÒÏ©ßÁ¿©Íéͪ£¨PVP£©¡£Òý·¢¼Á°üÀ¨ÑôÀë×ÓÐÍÒý·¢¼Á£¬ÈçBF3[14-15]£»ÒõÀë×ÓÐÍÒý·¢¼Á£¬Èçõ£°·µÄ¼ØÑΣ»×ÔÓÉ»ùÒý·¢¼Á£¬Èç¹ýÑõ»¯ÎżµªÀ໯ºÏÎïµÈ¡£ÓëÆäËû¸ß·Ö×ӵĺϳɷ½·¨ÏàËÆ£¬NVPµÄ¾ÛºÏ·½Ê½Ò²Óб¾Ìå¾ÛºÏ¡¢ÈÜÒº¾ÛºÏºÍÐü¸¡¾ÛºÏµÈ¼¸ÖÖ¡£

¡¡¡¡±¾Ìå¾ÛºÏÓÉÓھۺϹý³ÌÖз´Ó¦ÌåϵµÄÕ³¶ÈÖð½¥Ôö´ó£¬¾ÛºÏÎïÀ©É¢À§ÄÑ£¬·´Ó¦ÈȲ»ÈÝÒ×ÒÆ×ߣ¬¾Ö²¿¹ýÈȵÈÔ­Òò£¬µÃµ½µÄ²úÆ·ÖÊÁ¿²»ºÃ£¬²»ÄÜÂú×ãÉÌÒµ²úÆ·µÄÒªÇó£¬ÔÚ¹¤ÒµÉú²úÉÏûÓÐʵ¼ÊÓ¦ÓüÛÖµ¡£Ðü¸¡¾ÛºÏÒ²ÉÙ¼û±¨µÀ¡£Ä¿Ç°¹¤ÒµÉÏNVPµÄ¾ÛºÏÒ»°ã¶¼ÊDzÉÓÃÈÜÒº¾ÛºÏµÄ·½·¨£¬ÓÃÓÚÆäÈÜÒº¾ÛºÏµÄÈܼÁÓÐË®¡¢ÒÒ´¼¡¢Òì±û´¼¡¢±½¡¢¼×´¼¡¢ÒÒËáÒÒõ¥µÈ¼¸ÖÖ£¬×î³£ÓõÄÊÇË®¡£

¡¡¡¡NVPÔÚË®ºÍÓлúÈܼÁÖеľۺϻúÀíÊDz»Í¬£¬ÔÚË®ÈÜÒºÖеľۺϻúÀíÈçͼ1.3£¨ÒÔ¹ýÑõ»¯ÇâΪÒý·¢¼Á£©[16,17]£º

ͼ1.3  NVPÔÚË®ÖеľۺϻúÀí


¡¡¡¡NVPÔÚË®ÈÜÒº½øÐоۺÏʱ£¬³¤Á´×ÔÓÉ»ùͨ³£ÊǺÍÒý·¢¼Á×ÔÓÉ»ù½áºÏ¶øÖÕÖ¹µÄ£¬¶øÇÒÔÚÁ´ÖÕÖ¹½×¶Î£¬»áͬʱ·¢ÉúßÁ¿©Íéͪ»·µÄÁѽⷴӦ£¬Òò´Ë¾­³£·¢ÏÖÈ©»ùÊÇPVPµÄÒ»ÖÖ¶Ë»ù¡£ÁѽⷴӦҲ»áÓÐÉÙÁ¿µÄßÁ¿©ÍéͪÉú³É£¬ËùÒÔË®ÈÜÒº¾ÛºÏµÃµ½µÄ¾ÛºÏÎï²»ÊÇÌØ±ð´¿¡£

¡¡¡¡ÓÉÓÚË®ÈÜÒº¾ÛºÏÖУ¬³¤Á´×ÔÓÉ»ùÊÇͨ¹ýÓëÒý·¢¼Á×ÔÓÉ»ù½áºÏ¶øÖÕÖ¹µÄ£¬ËùÒÔÒý·¢¼ÁµÄÁ¿¶Ô¾ÛºÏÎï·Ö×ÓÁ¿µÄÓ°ÏìÌØ±ð´ó[18]¡£

¡¡¡¡¶¯Á¦Ñ§Á´³¤ÊÇÔö³¤·´Ó¦ËٶȺÍÖÕÖ¹·´Ó¦ËٶȵıÈÖµ£º

£¨Ê½1.1£©

¶ø

£¨Ê½1.2£©

£¨Ê½1.3£©

£¨Ê½1.4£©

¡¡¡¡¸ù¾ÝÎÈ̬¼ÙÉ裬¾ÛºÏÌåϵÖеÄ×ÔÓÉ»ùŨ¶È±£³Ö²»±ä£¬ËùÒÔ

£¨Ê½1.5£©

£¨Ê½1.6£©

¡¡¡¡½«Ê½1.6´úÈëʽ1.1£¬µÃµ½£º

£¨Ê½1.7£©

¡¡¡¡Ê½1.7Óëͨ³£µÄË«»ùÖÕÖ¹·½Ê½µÄ¶¯Á¦Ñ§Á´³¤Ïà±È£¬Òý·¢¼ÁŨ¶È¶Ô·Ö×ÓÁ¿µÄÓ°ÏìÒª´ó¶àÁË¡£

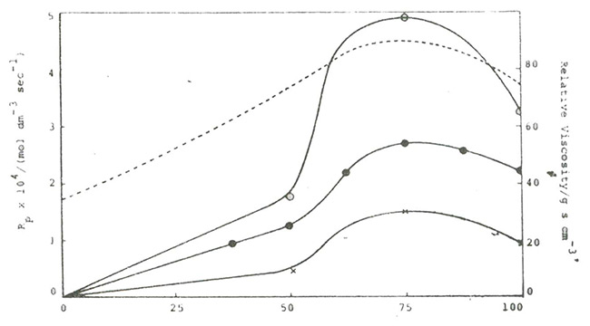
¡¡¡¡¶øÇÒNVPºÍË®»¹ÓÐÇâ¼ü×÷Óã¬Õâ¶ÔÆä·´Ó¦»îÐÔÒ²ÓÐÓ°Ï졣ͼ1.4Êdzõʼ·´Ó¦ËÙ¶ÈÓëNVPÔÚË®ÖÐŨ¶ÈµÄ¹ØÏµ[19]¡£

ͼ1.4  Çâ¼ü¶ÔNVP¾ÛºÏ·´Ó¦ËٶȵÄÓ°Ïì


¡¡¡¡´ÓͼÖпÉÒÔ¿´³ö£¬ÔÚNVPŨ¶ÈΪ75%(vol)ʱ£¬¶ÔÓ¦µÄNVPºÍË®µÄĦ¶û±ÈΪ1:2£¬¾ÛºÏ·´Ó¦ËÙ¶È×î´ó£¬¶øÇÒ´ËʱµÄÌåϵճ¶ÈÒ²ÊÇ×î¸ß¡£ÕâÖÖÇâ¼ü×÷ÓÿÉÒÔÌá¸ßNVPµÄ·´Ó¦»îÐÔ£¬´Ó¶øÌá¸ßÁË·´Ó¦ËÙ¶È¡£¶ø¹ýÁ¿µÄË®ÓÖÏ¡ÊÍÁËNVP£­Ë®µÄÇâ¼ü½áºÏÎµ¼ÖÂNVPŨ¶ÈµÍʱ£¬·´Ó¦ËÙ¶ÈҲϽµ¡£

¡¡¡¡NVPÔÚ´¼ÀàµÈÓлúÈܼÁÖнøÐоۺϷ´Ó¦Ê±£¬·´Ó¦»úÀí±È½Ï¸´ÔÓ£¬Èçͼ1.5Ëùʾ¡£

ͼ1.5  NVPÔÚÓлúÈܼÁÖеľۺϻúÀí


¡¡¡¡ÔÚÓлúÈܼÁÖнøÐоۺÏʱ£¬Òý·¢µ¥Ìå¾ÛºÏµÄÊÇÒý·¢¼Á×ÔÓÉ»ùÓëÈܼÁ·´Ó¦Éú³ÉµÄÈܼÁ×ÔÓÉ»ù£¬Á´µÄÖÕÖ¹ÊÇͨ¹ýÏòÈܼÁÁ´×ªÒÆÍê³ÉµÄ£¬µÃµ½Ò»¸öÇâÔ­×ӵĶ˻ùºÍÁíÒ»¸öÈܼÁ×ÔÓÉ»ù£¬¼ÌÐøÒý·¢¾ÛºÏ·´Ó¦¡£ÓÉÓÚÖÕÖ¹·´Ó¦ÖÐûÓÐÏñÔÚË®ÈÜÒºÖоۺÏÄÇÑù£¬·¢ÉúßÁ¿©Íéͪ»·µÄÁѽ⣬Òò´ËÖÆ±¸µÄ¾ÛºÏÎï½Ï´¿£»Ã»ÓÐÈ©»ù¶Ë»ù´æÔÚ£¬ÔÚÑõ»¯Ìõ¼þÏÂÒ²±ÈË®ÈÜÒº¾ÛºÏ¸üÎȶ¨¡£µ«ÓÉÓÚÁ´×ªÒÆ·´Ó¦£¬ÔÚÓлúÈܼÁÖоۺÏÒ»°ãÖ»Äܵõ½½ÏµÍ·Ö×ÓÁ¿µÄ¾ÛºÏÎÈç¹ûÒªºÏ³É¸ß·Ö×ÓÁ¿µÄ¾ÛºÏÎ¾Í±ØÐëÒªÔÚË®ÈÜÒºÖУ¬Ê¹ÓÃС¼ÁÁ¿µÄÒý·¢¼Á¡£

2.¹²¾Û

¡¡¡¡NVP³ýÁË¿ÉÒÔ¾ù¾ÛÍ⣬»¹¿ÉÒÔÓëÆäËûº¬ÓÐÒÒÏ©»ù½á¹¹µÄµ¥Ìå·¢Éú¹²¾Û·´Ó¦£¬Éú³É¸÷ÖÖ²»Í¬ÐÔÄܵĹ²¾ÛÎï¡£

¿ÉÒÔÓëNVP·¢Éú¹²¾Û·´Ó¦µÄµ¥ÌåÈç±í1.2ËùÁС£

±í1.2  ¿ÉÒÔÓëNVP·¢Éú¹²¾Û·´Ó¦µÄµ¥Ìå

õ¥Àà

¶þ¼×»ù°±»ùÒÒ»ù¼×Ëá±ûÏ©õ¥¡¢ÒÒËá±ûÏ©õ¥¡¢Òì¶¡Ï©Ëáõ¥¡¢¶þÒÒËá±ûÏ©Ëáõ¥¡¢¼×»ù±ûÏ©Ëá¼×õ¥¡¢ÒÒËáÒÒÏ©õ¥¡¢¶þ̼ËáÒÒÏ©õ¥¡¢±ûËáÒÒÏ©õ¥¡¢±ûÏ©ËáÒì±ûÏ©õ¥¡¢ÈýÏ©±û»ùÒìëæÄòËáõ¥¡¢¶þ¼×°·ÒÒÏ©Òì¶¡Ï©Ëáõ¥¡¢¶þ¼×°·ÒÒÏ©¼×»ù±ûÏ©Ëá¼×õ¥¡¢ÒÒÏ©»ù±ûÏ©Ëáõ¥¡¢Èý¶¡»ù±ûÏ©Ëáõ¥¡¢±ûÏ©ËáÒìÐÁõ¥µÈ

ÃÑÀà

ÒÒÏ©»ù±½»ùÃÑ¡¢ÒÒÏ©»ùÒì±û»ùÃÑ¡¢ÒÒÏ©»ù»·¼º»ùÃÑ¡¢ÒÒÏ©»ù¶¡»ùÃѵÈ

ÌþÀà

ÒÒÏ©¡¢±½ÒÒÏ©¡¢Ê®Áù̼ϩ

õ£°·Àà

N£­ÒÒÏ©»ù±½ÑÇõ£°·¡¢±ûÏ©õ£°·¡¢ÒÒÏ©»ù¼ºÄÚõ£°·

±´úÌþÀà

ÂÈÒÒÏ©¡¢ÈýÂÈÒÒÏ©

´¼Àà

±ûÏ©´¼

Ë«¹ÙÄÜÍÅÀࣨ½»Áª¾ÛºÏ£©

ÑǼ׻ùË«±ûÏ©õ£°·¡¢¶þÒÒÏ©»ù±½

ÆäËûÀà

±ûÏ©ëæ¡¢ÂíÀ´Ëáôû¡¢ÒÒÏ©»ùÈý¼×»ù¹èÍé¡¢ÒÒÏ©»ùÈý¼×Ñõ»ù¹èÍé¡¢ÒÒÏ©»ùßäßòµÈ

¡¡¡¡ËäÈ»×ÔÓÉ»ù¾ÛºÏ¿ÉÒԵõ½ºÜ¶àNVPµÄ¹²¾ÛÎµ«ÊÇĿǰֻÓÐÉÙÊý¼¸ÖÖÓдóÁ¿µÄ¹¤ÒµÉú²ú£¬ÈçNVP/´×ËáÒÒÏ©õ¥¡¢NVP/±ûËáÒÒÏ©õ¥£¬Ö÷ÒªÓ¦ÓÃÔÚ»¯×±Æ·¡¢Ó¡È¾Öú¼ÁºÍʳƷÌí¼Ó¼Á¡£


±í1.3   һЩ²»±¥ºÍµ¥Ìå¶ÔNVP£¨M1£©µÄ¹²¾Û²ÎÊý[20]

µ¥Ì壨M2£©

r1

r 2

Q

e

¶þ̼ËáÒÒÏ©õ¥

0.4

0.7

¡ª

¡ª

Ô¹ðËáÒÒÏ©õ¥

1.15¡«1.3

0.01

¡ª

¡ª

ÒÒËáÒÒÏ©õ¥

2.0

0.24

¡ª

¡ª

¼×»ù±ûÏ©Ëá¼×õ¥

0.005

4.7

0.074

-1.33

¶þÒÒËá±ûÏ©õ¥

0.92

0.94

0.096

-1.27

ÒÒËá±ûÏ©õ¥

1.6

0.17

¡ª

¡ª

N£­ÒÒÏ©»ù±½ÑÇõ£°·

0.35

0.04

0.088

0.37

ÂíÀ´Ëáôû

0.16

0.08

¡ª

¡ª

±ûÏ©´¼

1.0

0

¡ª

¡ª

±ûÏ©ëæ

0.06

0.18

¡ª

¡ª

±½ÒÒÏ©

0.045

15.7

0.087

-1.22

ÈýÂÈÒÒÏ©

0.54

<0.01

¡ª

¡ª

ÂÈÒÒÏ©

0.38

0.53

0.035

-1.07

ÒÒÏ©»ù±½»ùÃÑ

4.43

0.22

¡ª

¡ª

ÒÒÏ©»ùÒì±û»ùÃÑ

1.68

¡ª

¡ª

¡ª

ÒÒÏ©»ù»·¼º»ùÃÑ

3.84

¡ª

¡ª

¡ª

ÒÒÏ©»ù¶¡»ùÃÑ

3.30

0.205

0.067

-1.12

3.½»Áª¾ÛºÏ

¡¡¡¡NVPµÄÏßÐÔ¾ÛºÏÎïPVPÊÇÒ»ÖÖË®ÈÜÐԸ߷Ö×Ó£¬µ«ÊÇÆä½»Áª¾ÛºÏÎï¾Í²»ÄÜÈÜÓÚË®ºÍÓлúÈܼÁÁË¡£

¡¡¡¡ÓÐÈýÖÖ·½·¨¿ÉÒԺϳɵõ½½»ÁªµÄPVP£º

¡¡¡¡a)ÓùýÁòËáÑΡ¢ë»òÕß¹ýÑõ»¯Çâ´¦ÀíPVP£¬»òÕßÔÚ¹ýÑõ»¯Îï´æÔÚÏ£¬ÓæÁ,¦Ø£­¶þÏ©Ìþ´¦ÀíPVP£¬¶¼¿ÉÒԵõ½µÍ½»Áª¶ÈµÄPVPP£¬Éú³ÉµÄ²úÎïΪÈíÄý½º[21-23] ¡£

¡¡¡¡b)Ìí¼Ó½»Áª¼ÁµÄ×ÔÓÉ»ù¾ÛºÏ[24]¡£³£ÓõĽ»Áª¼ÁÓУº¶þÒÒÏ©»ù±½¡¢N,N¡¯£­ÑǼ׻ùË«±ûÏ©õ£°·¡¢¶þ¼×»ù±ûÏ©ËáÒÒÏ©õ¥¡¢¦Á,¦Ø£­¶þÏ©ÌþµÈ¡£²ÉÓÃÕâÖÖ·½·¨ºÏ³ÉPVPPʱ£¬¿ÉÒÔͨ¹ý¿ØÖƽ»Áª¼ÁµÄÓÃÁ¿À´¿ØÖÆPVPPµÄ½»Áª³Ì¶È¡£µ«ÕâÖÖ·½·¨Ò²Ö»Äܵõ½ÖеȽ»Áª¶ÈµÄPVPP£¬Èç¹ûÒªµÃµ½ºÜ¸ß½»Áª¶ÈµÄPVPP£¬ÐèÒª¼ÓÈëºÜ¶àÁ¿µÄ½»Áª¼Á£¬ÕâÑùÔÚ¹¤ÒµÉϲ¢²»ºÏËã¡£

¡¡¡¡c)±¬Ã×»¨¾ÛºÏ[25-28]¡£²ÉÓÃÕâÖÖ·½·¨ºÏ³ÉµÃµ½µÄÊǸ߶Ƚ»ÁªµÄPVPP¡£

1.1.4 PVPµÄÐÔÖÊ[29]

¡¡¡¡PVPÊÇÒ»ÖÖË®ÈÜÐԸ߷Ö×Ó»¯ºÏÎ¾ßÓÐË®ÈÜÐԸ߷Ö×Ó»¯ºÏÎïµÄÒ»°ãÐÔÖÊ£¬È罺Ìå±£»¤×÷ÓᢳÉĤÐÔ¡¢Õ³½ÓÐÔ¡¢ÎüʪÐÔ¡¢ÔöÈÜ»òÄý¾Û×÷Óá¢ÓëijЩ»¯ºÏÎïµÄÂçºÏÄÜÁ¦µÈ¡£µ«PVP×î¾ßÌØÉ«µÄÊÇËüµÄÓÅÁ¼µÄÈܽâÐÔÄܺÍÉúÀí¶èÐÔ¡£PVP¼ÈÈÜÓÚË®£¬ÓÖÈÜÓڴ󲿷ÖÓлúÈܼÁ£¬ÎÞ¶¾ÎÞº¦£¬ÉúÀíÏàÈÝÐԺܺá£

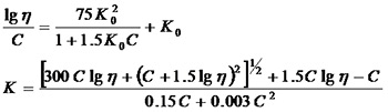
¡¡¡¡1.·Ö×ÓÁ¿µÄ²â¶¨¼°Æä±íÕ÷

¡¡¡¡ÉÌÆ·PVP°´·Ö×ÓÁ¿´óС·Ö³ÉÈô¸ÉµÈ¼¶£¬Ò»°ãÓÃFikentscher·¨µÄKÖµÀ´±íʾ¡£²â¶¨KÖµ×î³£Óõķ½·¨ÊÇÓÃëϸ¹ÜÕ³¶È¼Æ²âµÃPVPË®ÈÜÒºµÄÏà¶ÔÕ³¶È¦Ç£¬ÔòÓÐ

ʽÖУº  K0    Fikentscher³£Êý K=1000 K0£»

C     100mlÈܽâPVPµÄ¿ËÊý£»

¦Ç     Ïà¶ÔÕ³¶È


ͼ1.6  PVPµÄKÖµºÍ·Ö×ÓÁ¿µÄ¶ÔÓ¦¹ØÏµ


2.ÎïÀíÐÔÖÊ

¡¡¡¡PVPÔÚË®ÖеÄÈÛ½âÈÈΪ-4.8kJ/mol£¬ÕÛÉäÂÊ ¡£PVPµÄ¹ÌÌåÃܶÈΪ1.25¡Á103kg/m3£¬µ«ÓÉÓڽṹÊèËÉ£¬Æä¶ÑÃܶÈËæ·Ö×ÓÁ¿ºÍ¸ÉÔï·½·¨µÄ²»Í¬£¬ÔÚ0.1¡«0.6g/ml·¶Î§ÄÚ¡£

¡¡¡¡PVPµÄ²£Á§»¯Î¶ÈÒ²Ëæ·Ö×ÓÁ¿µÄÔö¼Ó¶øÉý¸ß£¬Æä¼«ÏÞֵԼΪ180¡æ£¬Èçͼ1.7Ëùʾ£º

ͼ1.7  PVPµÄ²£Á§»¯Î¶È


¡¡¡¡PVPµÄX£­ÉäÏßÉ¢Éä½Ç2¦È·Ö±ðΪ10¡ã¡«26¡ãºÍ10¡ã¡«40¡ã£¬Õâ±íÃ÷PVPÊÇÎÞ¶¨ÐͷǾ§Ì¬½á¹¹¡£


3.ÈܽâÐÔºÍÈÜÒºÌØÐÔ

¡¡¡¡ÓÉÓÚPVP·Ö×ÓÖмÈÓÐÇ×Ë®»ùÍÅ£¬ÓÖÓÐÇ×ÓÍ»ùÍÅ£¬ËùÒÔ¿ÉÒÔÓëÐí¶àÈܼÁÏ໥×÷Óã¬Ê¹Æä¼ÈÄÜÈÜÓÚË®£¬ÓÖÄÜÈܽâÓÚÐí¶à´¼¡¢ôÈËá¡¢°·¡¢Â±´úÌþµÈÓлúÈܼÁÖС£PVPÔÚË®ÖеÄÈܽâ¶È½öÊÜËü×ÔÉíÕ³¶ÈµÄÏÞÖÆ¡£

ÔÚÊÒÎÂÏÂÄÜÈܽⳬ¹ý10%ÒÔÉÏPVPµÄÓлúÈܼÁ¾ÙÀýÈç±í1.4£¬ÔÚÊÒÎÂÏÂÈܽâPVP²»³¬¹ý1%µÄÓлúÈܼÁ¾ÙÀýÈç±í1.5¡£

¡¡¡¡´Ó±í1.4ºÍ±í1.5¿ÉÒÔ¿´³ö£¬PVPÒ»°ãÒ×ÈÜÓÚÓнÏÇ¿¼«ÐÔµÄÈܼÁ£¬¶ø²»Ò×ÈÜÓÚ½ÏÈõ¼«ÐÔµÄÈܼÁ£¬µ«µ±ÓÐÖúÈܼÁ´æÔÚʱ£¬Ôò¿ÉÈÜÓÚÌþÀàµÈ·Ç¼«ÐÔÈܼÁ¡£

±í1.4  ÈÝÒ×ÈܽâPVPµÄÓлúÈܼÁ

´¼Àà

¼×´¼¡¢ÒÒ´¼¡¢±û´¼¡¢Òì±û´¼¡¢¶¡´¼¡¢Òì¶¡´¼¡¢Îì´¼¡¢»·¼º´¼¡¢¼×»ù»·¼º´¼¡¢±½·Ó¡¢ÒÒ¶þ´¼¡¢±û¶þ´¼¡¢¶¡¶þ´¼¡¢¸ÊÓÍ¡¢¶þ±ûͪ´¼

ËáÀà

¼×Ëá¡¢ÒÒËá¡¢±ûËá

ÄÚõ¥Àà

¦Ã£­¶¡ÄÚõ¥

ÃÑ£­´¼Àà

ÒÒ¶þ´¼ÃÑ¡¢¶þ¸Ê´¼¡¢Èý¸Ê´¼¡¢1,6£­¼º¶þ´¼¡¢¾ÛÒÒ¶þ´¼400¡¢2,2¡¯Áò´ú¶þÒÒ´¼

õ¥Àà

ÈéËáÒÒõ¥

ͪÀà

¼×»ù»·¼ºÍª¡¢»·¼ºÍª£¨ÈÈ£©

ÄÚõ£°·Àà

2£­ßÁ¿©Íéͪ¡¢N£­¼×»ùßÁ¿©Íéͪ¡¢N£­ÒÒÏ©»ùßÁ¿©Íéͪ

°·Àà

¶¡°·¡¢»·¼º°·¡¢±½°·¡¢ÒÒ¶þ°·¡¢ßÁड¢Âðßø¡¢ÒÒ´¼°·¡¢¶þÒÒ´¼°·¡¢ÈýÒÒ´¼°·¡¢°±ÒÒ»ùÒÒ´¼°·¡¢2£­ôÇ»ùÒÒ»ùÂðßø¡¢2£­°±»ù£­2£­¼×»ù±û´¼

Ïõ»ùÌþÀà

Ïõ»ù¼×Íé¡¢Ïõ»ùÒÒÍé


±í1.5  ²»Ò×ÈܽâPVPµÄÓлúÈܼÁ

ÌþÀà

±½¡¢¼×±½¡¢¶þ¼×±½¡¢Ê¯ÓÍÃÑ¡¢ËÄÇâÝÁ¡¢ÎìÍé¡¢¼ºÍé¡¢¸ýÍé¡¢¸ÉÏ´ÈܼÁÓÍ¡¢ÃºÓÍ¡¢ÈܼÁÓÍ¡¢¿óÎïÓÍ¡¢»·¼ºÍé¡¢¼×»ù»·¼ºÍé¡¢ËɽÚÓÍ

ÃÑÀà

¶þÑõÁùÍé¡¢¶þÒÒÃÑ¡¢¶þ¼×ÃÑ¡¢ÒÒ»ùÒÒÏ©»ùÃÑ¡¢Òì¶¡»ùÒÒÏ©»ùÃÑ¡¢ËÄÇâß»à«

º¬ÂÈÀà

ËÄÂÈ»¯Ì¼¡¢Âȱ½

ͪÀà

±ûͪ¡¢2£­¶¡Íª¡¢»·¼ºÍª

õ¥Àà

´×ËáÒÒõ¥¡¢´×ËáÒì¶¡õ¥


¡¡¡¡ÔڽϴóµÄ·¶Î§ÀPVPË®ÈÜÒºµÄÕ³¶ÈÓëpHÖµÎ޹أ¬½ö½öÔÚ¼«ÏÞµÄÇé¿öÏ»áÓнϴó±ä»¯£ºÅ¨ÑÎËá»áÔö¼ÓÈÜÒºµÄÕ³¶È£¬Å¨¼î»áʹPVP·¢Éú³Áµí¡£

¡¡¡¡PVPÔÚÆäËûÓлúÈܼÁÖеÄÕ³¶È±ä»¯½Ï´ó£¬Èç±í1.6Ëùʾ¡£¶ÔÓÚÓÐЩÓлúÈܼÁ£¬ÈÜÒºÕ³¶ÈÔö´óµÄÔ­ÒòÊÇÓÉÓÚPVPÔÚÓëÆä»ìºÏºó£¬ÒýÆðÄý½º»¯×÷ÓÃËùÖ¡£

±í1.6  ÔÚ²»Í¬ÈܼÁÖÐ10%PVP K30ÈÜÒºÕ³¶È£¬25¡æ

ÈܼÁ

¶þÂȼ×Íé

N£­¼×»ùßÁ¿©Íéͪ

Ë®

ÒÒÃÑ

±û¶þ´¼

ÒÒ¶þ´¼

Òì±û´¼

Õ³¶È£¬mm2/s

3

8

5

12

261

95

12

ÈܼÁ

¶þÒÒ¶þ´¼

ÈýÒÒ´¼ï§

ÒÒ´¼

´×Ëá

»·¼º´¼

±ûÈý´¼

¶¡¶þ´¼

Õ³¶È£¬mm2/s

165

666

5

12

376

2046

425


¡¡¡¡½«PVPÈܽâÔÚNaClË®ÈÜÒºÀ0.2mol»ò2mol£©£¬ÆäÐÐÎªÌØÕ÷ÈçÕ³¶ÈµÈÓëPVPË®ÈÜÒº½öÓÐϸ΢²î±ð£¬ÕâÊÇPVPÇø±ðÓëÆäËû´ó¶àÊý¾ÛºÏÎïµÄÓÅÒìÌØÐÔ¡£

¡¡¡¡PVPÔÚ»ìºÏÈܼÁÖÐÈܽâÐÔÒ²ÓбȽÏÌØ±ðµÄµØ·½¡£ÈçPVP/±ûͪ/Ë®µÄÈýÔªÌåϵ£¬ÆäÏàͼÈçͼ1.9Ëùʾ¡£´ÓÏàͼ¿ÉÖª£¬ÓÉÓÚ±ûͪ¶ÔPVP¼¸ºõ²»ÈÜ£¬ËùÒÔµ±ÔÚPVPµÄË®ÈÜÒºÖмÓÈë´óÁ¿µÄ±ûͪ£¬Ôò²¿·ÖPVP»áËæ±ûͪ³Áµí£¬ÐγÉÁ½Ïà¡£ÈýÏ๲ÈܵãµÄλÖÃËæKÖµµÄ¼õС¶øÇ÷Ïò±ûͪ±ÈÀýÔö´óµÄ·½Ïò¡£

ͼ1.9  PVP/±ûͪ/Ë®µÄÈýÔªÌåϵÏàͼ£¨25¡æ£©


4.±íÃæ»îÐÔ

¡¡¡¡´Ó½á¹¹¿´£¬PVP³¤·Ö×ÓÁ´ÖмÈÓÐÇ×Ë®ºÍÇ׺ϼ«ÐÔ»ùÍŵÄÄÚõ£°·»ù£¬ÓÖÓÐÇ×ÓÍÐԵķǼ«ÐÔµÄ̼Á´£¬PVPµÄÕâÖÖ·Ö×ӽṹʹÆä´øÓбíÃæ»îÐÔ¡£Æä½µµÍ±íÃæ»ò½çÃæÕÅÁ¦µÄÄÜÁ¦ËäÈ»±ÈµÍ·Ö×Ó±íÃæ»îÐÔ¼ÁС£¬ÉøÍ¸ÄÜÁ¦Ò²½ÏÈõ£¬µ«Æä¶Ô¹ÌÌå±íÃæµÄÎü¸½×÷Óü°Ç×Ë®ÐÔËùÐγɵÄÁ¢ÌåÆÁ±ÎÄÜÁ¦£¬Ê¹¹ÌÌåÁ£×Ó¾ßÓÐÓÅÁ¼µÄ·ÖÉ¢Îȶ¨ÐÔ¡£´ËÍâËûÓëÐí¶àÓлúÎÞ»ú»¯ºÏÎïµÄÇâ¼üÂçºÏÄÜÁ¦ÓÖʹÆä¾ßÓÐÄý¾Û×÷ÓûòÔöÈÜÄÜÁ¦£¬Ç°ÕßʹÆäÔÚº¬¶à·ÓÀàÎïÖʵľÆÀàºÍÒûÁÏÖÐÆð³ÎÇåºÍÎȶ¨×÷Ó㬶øºóÕßÔò¹ã·ºÓ¦ÓÃÓÚ¹²³ÁµíÖÆ±¸Ò©Îï¹ÌÌå·ÖÉ¢ÌåÒÔÌá¸ßÄÑÈÜÒ©ÎïµÄÉúÎïÀûÓöÈ¡£ÒÔÉÏÕâЩ±íÃæ»îÐÔÎïÖʵÄ×ÛºÏÌØÐÔʹPVP³ÉΪ¸ß·Ö×Ó±íÃæ»îÐÔ¼ÁµÄÖ÷ҪƷÖÖÖ®Ò»¡£

5.ÎüʪÐÔ

¡¡¡¡PVPÓнÏÇ¿µÄÎüʪÐÔ£¬ËüÔÚ²»Í¬Ïà¶Ôʪ¶Èϵı¥ºÍʪº¬Á¿Èçͼ1.10¡£

ͼ1.10  PVPµÄ±¥ºÍʪº¬Á¿


¡¡¡¡ÈÈ»¯Ñ§Ñо¿±íÃ÷£¬Ã¿¸öNVPµ¥Ôª´óÔ¼µÞºÏ0.5·Ö×ÓµÄË®£¬ÕâÓëµ°°×ÖʵÄÎüË®ÐÔÏàËÆ¡£

6.ÂçºÏÐÔ

¡¡¡¡PVPÊÇÒ»ÖÖ¾ßÓиߡ°Èܽ⡱ÄÜÁ¦µÄ¾ÛºÏÎÕâÖÖ¡°Èܽ⡱ÄÜÁ¦ÊÇÒòΪÆä·Ö×ӽṹÖÐÓи߼«ÐÔÌØÐÔºÍÄܽÓÊÜÇâ¼üµÄõ£°·»ùÍÅ£¬Í¬Ê±ÓÖÓзǼ«ÐÔ»ùÍÅ¡£ÕâÖÖÄÜÁ¦Ê¹µÃPVPÄܹ»ÓëÐí¶àÎïÖÊ£¬ÌرðÊǺ¬ôÇ»ù¡¢ôÈ»ù¡¢°±»ù¼°ÆäËû»îÐÔÇâÔ­×ӵϝºÏÎïÉú³ÉÂçºÏÎï¡£

7.»¯Ñ§Îȶ¨ÐÔ

¡¡¡¡Í¨³£Çé¿öÏ£¬¹ÌÌåPVPºÜÎȶ¨£¬ÔÚ100¡æ¿ÕÆøÖмÓÈÈ16СʱÎޱ仯¡£PVPµÄË®ÈÜÒºÔÚͨ³£Çé¿öÏÂÒ²ºÜÎȶ¨¡£²»º¬ÆäËû³É·Öʱ£¬0¡«100¡æ·¶Î§ÄÚPVPË®ÈÜÒºÎÞÈκγÁµí¼£Ï󣬵«Èç¹ûÊÜÈÈʱ¼ä¹ý³¤£¬»ò´æ·Åʱ¼ä¹ý³¤£¬»òPHÖµÔÚËáÐÔ·¶Î§ÄÚ£¬¶¼»áʹPVPÈÜÒº±ä³ÉÇá΢µÄµ­»ÆÉ«¡£ÔÚPVPË®ÈÜÒºÖмÓÈë¸÷ÖÖº¬¶à¼ÛÒõÀë×ÓµÄÑÎÀ࣬ÈçÆ«¹èËáÄÆ¡¢Èý¾ÛÁ×ËáÄÆ£¬PVPÔò»á³Áµí¡£µ«¸ß·Ö×ÓÁ¿µÄPVP£¬ÎÞÂÛÊÇË®ÈÜÒº£¬»¹ÊǸɷÛ״̬£¬´æ·Åʱ¼ä¹ý³¤¶¼»áÓнµ½âÏÖÏó¡£

8.ÉúÎïÌØÐÔ

¡¡¡¡PVPÎÞ¶¾£¬¾ßÓÐÓÅÁ¼µÄÉúÀí¶èÐÔ£¬²»²ÎÓëÈËÌåг´úл£¬ËüÓÖ¾ßÓÐÓÅÁ¼µÄÉúÎïÏàÈÝÐÔ£¬¶ÔƤ·ô¡¢Õ³Ä¤¡¢Ñ۵Ȳ»ÐγÉÈκδ̼¤¡£

1.1.5 PVPµÄÓÃ;[30]

¡¡¡¡1.Ò½Ò©

¡¡¡¡PVPÔÚ³öÏֺ󲻾þÍ×÷ΪѪ½¬À©ÈݼÁ£¬ÔÚ¶þÕ½ÖÐÇÀ¾ÈÁËÖÚ¶àÉËÔ±¡£

¡¡¡¡Èç½ñ£¬PVPºÍÏËÎ¬ËØÀàÑÜÉúÎï¡¢±ûÏ©ËáÀ໯ºÏÎïÒ»Æð³ÉΪÈý´óÖ÷ÒªºÏ³ÉÒ©Î︨ÁÏ£¬ÔÚÈ«ÊÀ½ç·¶Î§Äڵõ½¹ã·ºµÄÓ¦Óá£Ëü¿ÉÒÔ×÷ΪƬ¼Á¡¢¿ÅÁ£¼ÁµÄÕ³½á¼Á¡¢×¢Éä¼ÁµÄÖúÈܼÁ¡¢Îȶ¨¼Á¡¢ÒºÌåÖÆ¼ÁµÄ·ÖÉ¢¼Á¡¢°üÒ³ÉĤ¼Á¼°É«ËØ·ÖÉ¢¼Á¡¢ÄÑÈÜÒ©ÎïµÄ¹²³Áµí¼Á¼°ÑÛÒ©µÄÑÓЧ¼Á¡¢È󻬼ÁµÈ¡£½»Áª²»ÈÜÐÍPVP»¹¿ÉÒÔ×÷ΪƬ¼ÁµÄÒ©Îï±À½â¼Á¡£

PVP»¹Óкܶà×÷Ϊ·Ç¸¨ÁϵÄÓ¦Óã¬ÆäÖÐ×î³£¼ûµÄ¾ÍÊÇ×÷Ϊɱ¾úÏû¶¾¼ÁʹÓõÄPVP£­I¡£

¡¡¡¡2.»¯×±Æ·

¡¡¡¡PVPÔÚ»¯×±Æ·ÖÐÓÐÐí¶à¹¦ÄÜ£¬Ö÷ÒªÊǶÔÈéÒº¡¢Ðü¸¡ÒºµÈ·ÖÉ¢ÌåϵµÄÎȶ¨¼°ÔöÕ³×÷Ó㬻¤·¢¶¨ÐÍÀà²úÆ·ÖеijÉĤ×÷Óã¬Äý½ºÀà²úÆ·ÖеÄÄý½º»¯×÷Ó㬻¤·ôÀà²úÆ·ÖеÄÈ󻬡¢±£Êª£¬ÅÝÄ­Àà²úÆ·µÄÅÝÄ­Îȶ¨×÷Óã¬ÒÔ¼°ÔÚ¸÷À໯ױƷÅä·½ÖÐ×÷ÎªÉ«ËØÎȶ¨¼Á£¬³ý³ô¡¢±£Ïã¼Á£¬ÎºͼÁµÈ¡£

¡¡¡¡3.Äð¾ÆºÍÒûÁϹ¤Òµ

¡¡¡¡PVP¼°²»ÈÜÐÔPVPÔÚÄð¾Æ¡¢ÒûÁϹ¤ÒµÖпÉÒÔ×÷Ϊơ¾Æ¡¢¹û¾Æ¡¢¹ûÖ­µÄ³ÎÇå¼ÁºÍÎȶ¨¼Á¡£PVP¿ÉÒÔºÍÕâЩ¾ÆÀà¡¢ÒûÁÏÖеĶà·ÓÀàÎïÖÊÂçºÏ£¬´Ó¶ø³ýÈ¥ÕâЩ»áʹ¾ÆÀà¡¢ÒûÁϱä»ë×ǵÄÎïÖÊ¡£

¡¡¡¡4.Í¿ÁÏ¡¢ÑÕÁϹ¤Òµ

¡¡¡¡ÔÚÍ¿ÁÏ¡¢ÑÕÁÏ¡¢ÓÍÄ«¡¢¸ß·Ö×Ӻϳɼ°¼Ó¹¤µÈ¹¤Òµ¹ý³Ì»ò¹¤Òµ²úÆ·ÖУ¬PVPÒÔÆäÓÅÁ¼µÄÈܽâÐÔ¡¢³ÉĤÐÔ¡¢ÉúÀí¶èÐÔ¡¢±íÃæ»îÐÔºÍÂçºÏÄÜÁ¦µÈ×ÛºÏÌØµã£¬¶øµÃµ½¹ã·ºµÄÓ¦Óá£

¡¡¡¡5.Õ³½á¼Á

¡¡¡¡PVP¶Ô²£Á§¡¢½ðÊôºÍËÜÁϱíÃæ¾ßÓÐÌØ±ðµÄÕ³½áÁ¦£»¼ÓÉÏÆäÇ×Ë®ÐÔ¡¢·ÖÉ¢Îȶ¨ÐÔ¡¢ÎÞ´¥±äÐÔ¡¢Ôö³íÐÔµÈÌØµã£¬Ê¹Ëü¹ã·ºÓÃÓÚ¸÷ÖÖÕ³½á¼ÁÅä·½ÖУ¬Èç¹ÌÌ彺ˮ°ô¡¢Ñ¹Ãô½º¼°ÔÙʪÐÔ½ºµÈ¡£

¡¡¡¡6.ÆäËû

¡¡¡¡³ýÁËÒÔÉÏÐðÊöµÄPVPµÄһЩÓÃ;Í⣬PVP»¹ÔÚ²ÉÓÍ¡¢ÔìÖ½µÈÆäËû·½ÃæÓ¦Óá£ÓÉÓÚÆäÓÅÒìÐÔÄÜ£¬½üÄêÀ´²»¶Ï·¢ÏÖPVPÓÐÐí¶àеÄÓ¦Ó㻲ÉÓÃеľۺϼ¼ÊõºÍ¹²¾Û·½·¨£¬¾ÛºÏÎïµÄÐÔÖÊÄܽøÒ»²½¸Ä½ø£¬´Ó¶ø´ò¿ªÁËһЩȫеÄÓ¦ÓÃÁìÓò¡£


º¼ÖÝÅÁç÷¿Æ¼¼ÓÐÏÞ¹«Ë¾

¹úÄÚÒµÎñ                              

ÁªÏµÈË£º³Â¾­Àí   13685794797

ÓÊÏ䣺1491793720@qq.com

µØÖ·£ºÕã½­Ê¡º¼ÖÝÊÐδÀ´¿Æ¼¼³Ç»ªÁ¢¿Æ¼¼½¡¿µÒ½Ò©²úÒµÔ°

ÊÖ»úä¯ÀÀɨһɨ

º¼ÖÝÅÁç÷¿Æ¼¼ÓÐÏÞ¹«Ë¾,  °æÈ¨ËùÓÐ Copyright@2018 ÕãICP±¸18042014ºÅ-1   All Rights Reserved.

ʯ×ìɽÊÐ| ºº¹ÁÇø| Ì«ºÍÏØ| ½ð´¨ÏØ| °¢À­ÉÆÃË| ÉÜÐËÏØ| Í­ÁêÊÐ| ¸Ê¹ÈÏØ| ÈýÃÅÏØ| ˫ѼɽÊÐ| ÑÓ¼ªÊÐ| »ôÉ½ÏØ| ÎÅÏ²ÏØ| ÖÐɽÊÐ| ÕòÐÛÏØ| ÜþÑôÊÐ| °²Æ½ÏØ| ¹ã¶«Ê¡| ³±ÖÝÊÐ| ÁÉÖÐÏØ| ÊÙ¹âÊÐ| ³½ÏªÏØ| ãä½­ÊÐ| Òí³ÇÏØ| ÃÀ¹ÃÏØ| ´ïÈÕÏØ| ԭƽÊÐ| Á°Ë®ÏØ| ÉîÔóÏØ| ËÉÅËÏØ| ¼ÎÒåÊÐ| Âé½­ÏØ| Á®½­ÊÐ| Ç­¶«| Çø¡£| Ð˰²ÏØ| ¶«·áÏØ| ¼ª°²ÏØ| À´±öÊÐ| ¸£ÖÝÊÐ| ¹ãÆ½ÏØ|